最新信息
热门信息
当前位置: 部门首页 > 技能评价 > 成绩查询 > 正文

重庆三峡医药高等专科学校2025年第14批营养师三四级成绩公示

发布人: 发布日期:2025/06/19 来源: 浏览:次 字号:

重庆三峡医药高等专科学校2025年第14批营养师三四级

                     成绩公示

各位考生:

20250527重庆三峡医药高等专科学校第14批6月15日营养师三四级考试结束,现将考试成绩予以公示(详见附件)。

公示时间 2025年6月19日-6月26日(公示5天)。

    联系人:吴老师    联系电话:58556821

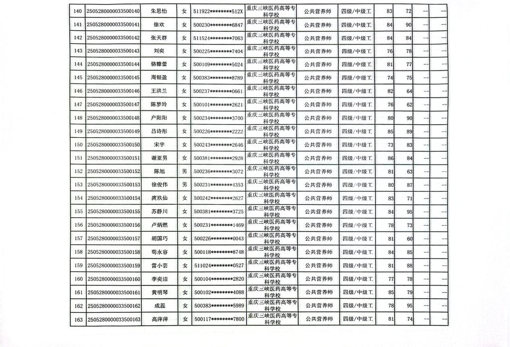
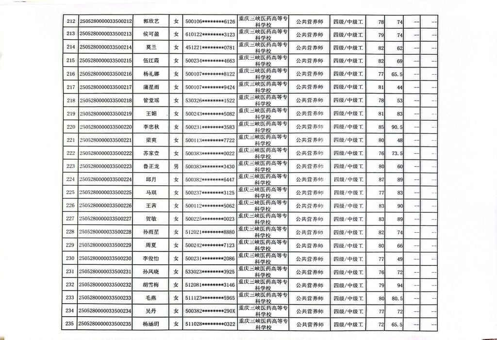
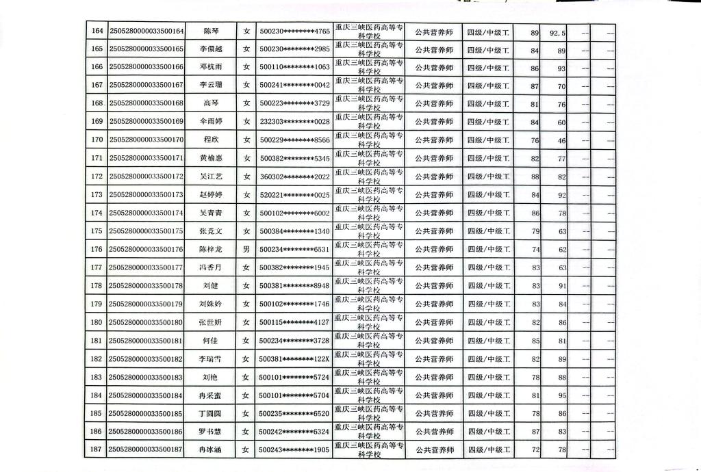
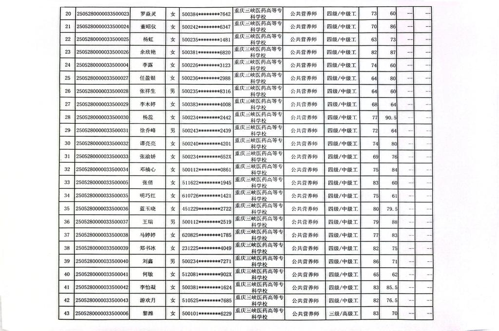
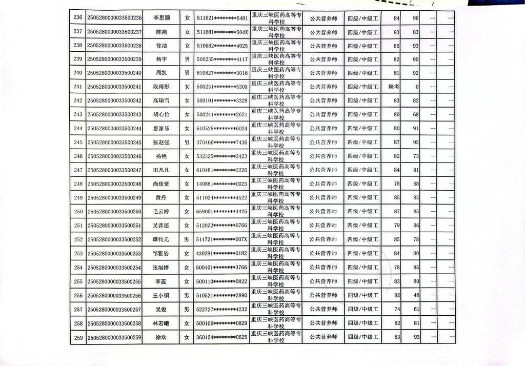
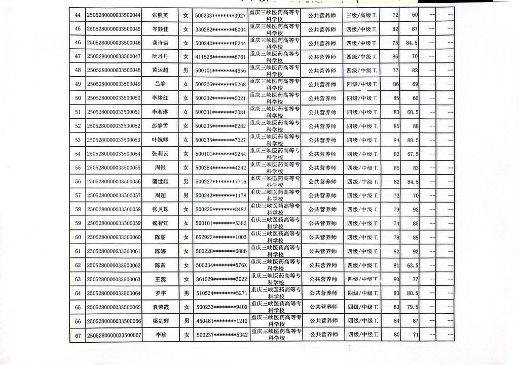
附件:营养师三四级成绩

                      重庆三峡医药高等专科学校合作交流中心

                                2025年6月19日

附件: