最新信息
热门信息
当前位置: 部门首页 > 技能评价 > 成绩查询 > 正文

重庆三峡医药高等专科学校2025年第11批婴幼儿发展引导员四级成绩公示

发布人: 发布日期:2025/06/13 来源: 浏览:次 字号:


重庆三峡医药高等专科学校2025年第11批婴幼儿发展引导员四级成绩公示

各位考生:

重庆三峡医药高等专科学校第11批婴幼儿发展引导员四级考试于

2025年6月7日考试结束,现将考试成绩予以公示(详见附件)。

公示时间 2025年6月13日-6月19日(公示5天)。

    联系人:吴老师    联系电话:58556821

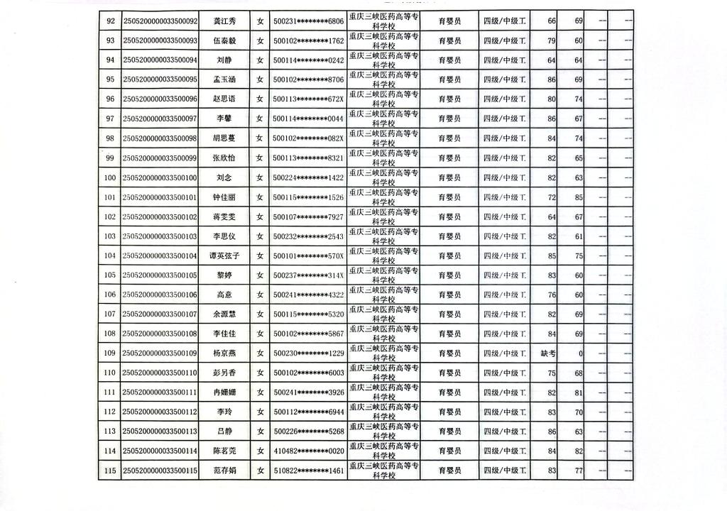
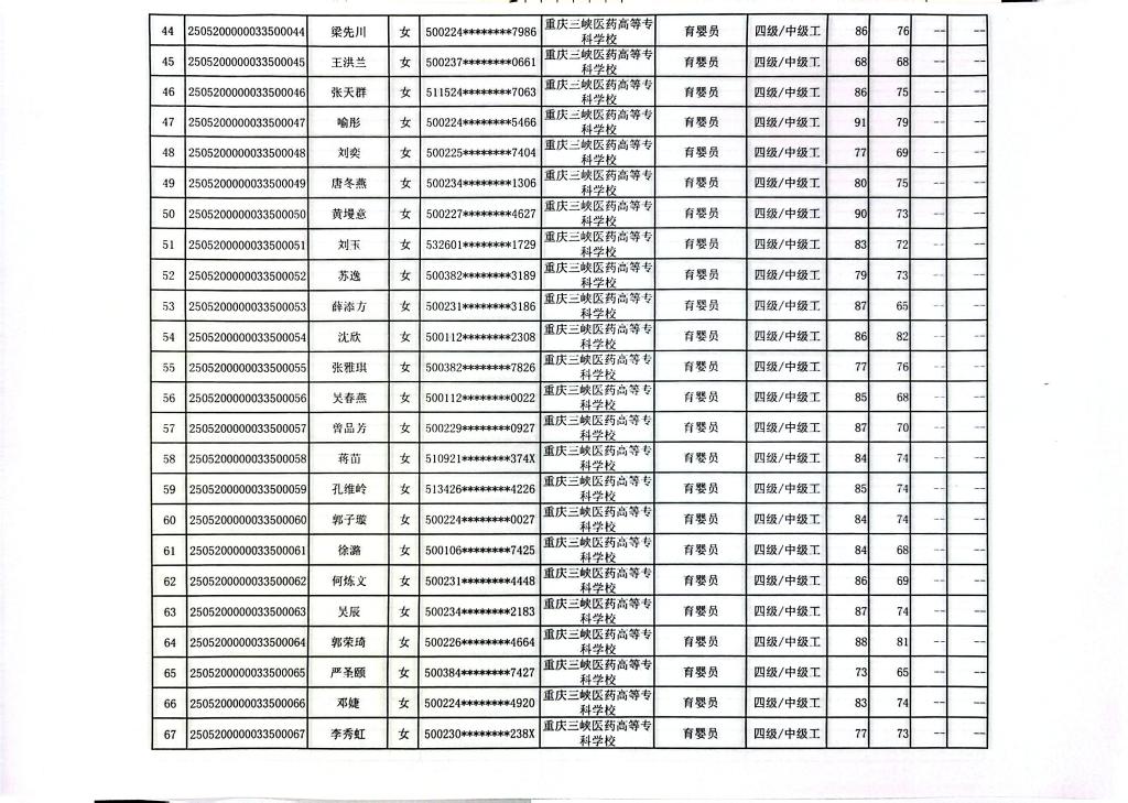
    附件:婴幼儿发展引导员四级成绩

                    重庆三峡医药高等专科学校合作交流中心

                                  2025年6月13日

附件: