最新信息
热门信息
当前位置: 部门首页 > 技能评价 > 成绩查询 > 正文

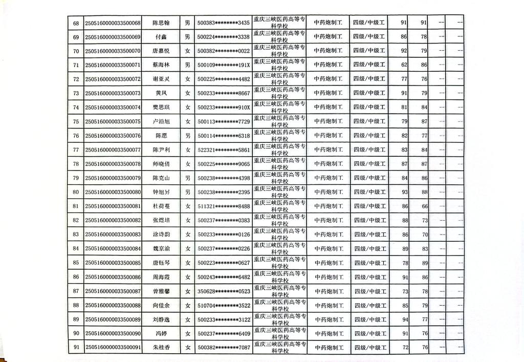
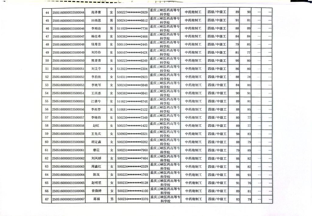
重庆三峡医药高等专科学校2025年第9批中药炮制工四级成绩公示

发布人: 发布日期:2025/06/04 来源: 浏览:次 字号:

重庆三峡医药高等专科学校2025年第9批中药炮制工四级成绩公示

各位考生:

重庆三峡医药高等专科学校第9批中药炮制工四级考试于2025年5月31日考试结束,现将考试成绩予以公示(详见附件)。

公示时间 2025年6月4日-6月10日(公示5天)。

    联系人:吴老师    联系电话:58556821

附件:中药炮制工四级成绩

                        重庆三峡医药高等专科学校合作交流中心

                                    2025年6月4日

附件: