最新信息
热门信息
当前位置: 部门首页 > 技能评价 > 成绩查询 > 正文

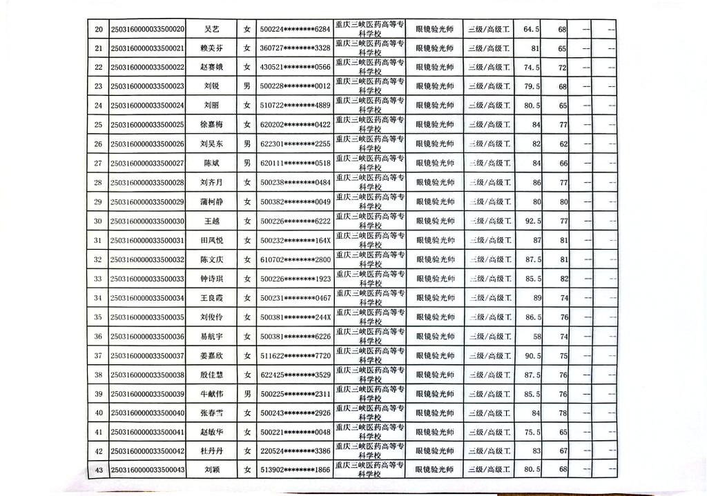
重庆三峡医药高等专科学校2025(0314)第1批眼镜验光员三级成绩公示

发布人: 发布日期:2025/03/31 来源: 浏览:次 字号:


重庆三峡医药高等专科学校2025(0314)第1批眼镜

光员三级成绩公示

各位考生:

  2025(0314)重庆三峡医药高等专科学校第1批眼镜验光员三级于2025年3月28日考试结束,现将考试成绩予以公示(详见附件)。

  公示时间2025年3月31日-4月7日(公示5天)。


附件眼镜验光员成绩

                    重庆三峡医药高等专科学校合作交流中心

                            2025年3月31日


附件: